Contoh Makalah Analisis Kasus

Contoh makalah analisis kasus hukum pidana, contoh makalah analisis laporan keuangan, contoh makalah analisis swot, contoh makalah analisis sistem informasi, contoh makalah analisis jurnal, contoh makalah analisis pekerjaan, contoh makalah analisis novel, contoh makalah analisis produk, contoh makalah analisis puisi, contoh makalah analisis kasus, contoh makalah analisis regresi, contoh makalah yang baik dan benar, contoh makalah lengkap, contoh makalah bahasa inggris, contoh makalah ilmiah, contoh makalah kewirausahaan, contoh makalah penelitian, contoh makalah pendidikan, contoh makalah sederhana, contoh makalah sejarah, contoh makalah mahasiswa,


Contoh Cover Sampul Makalah Yang Baik Dan Benar - Majalah via diamondtaxi.blogspot.co.id
Contoh Cover Sampul Makalah Yang Baik dan Benar - Majalah

Contoh Makalah Studi Kasus E-banking Contoh Makalah Kita via contohmakalahkita.blogspot.com
Contoh Makalah Studi Kasus E-Banking  Contoh Makalah Kita

Contoh Kasus Hukum Perdata Tentang Wanprestasi - Ternyata via ternyatac.blogspot.com
Contoh Kasus Hukum Perdata Tentang Wanprestasi - Ternyata

Makalah Analisis Regresi via www.scribd.com
Makalah ANALISIS REGRESI

Contoh Evaluasi Kontrak Kerja Konstruksi via www.slideshare.net
Contoh Evaluasi Kontrak Kerja Konstruksi

Contoh Etika Publik - Mosik Express via mosikexpress.blogspot.com
Contoh Etika Publik - Mosik Express

Observasi Dan Wawancara via www.scribd.com
Observasi Dan Wawancara

Contoh Erd Sistem Informasi Rawat Jalan - Contoh 36 via contoh36.blogspot.co.id
Contoh Erd Sistem Informasi Rawat Jalan - Contoh 36

Management Information System: Model-model Pengembangan via imansunandar14.blogspot.com
Management Information System: Model-Model Pengembangan

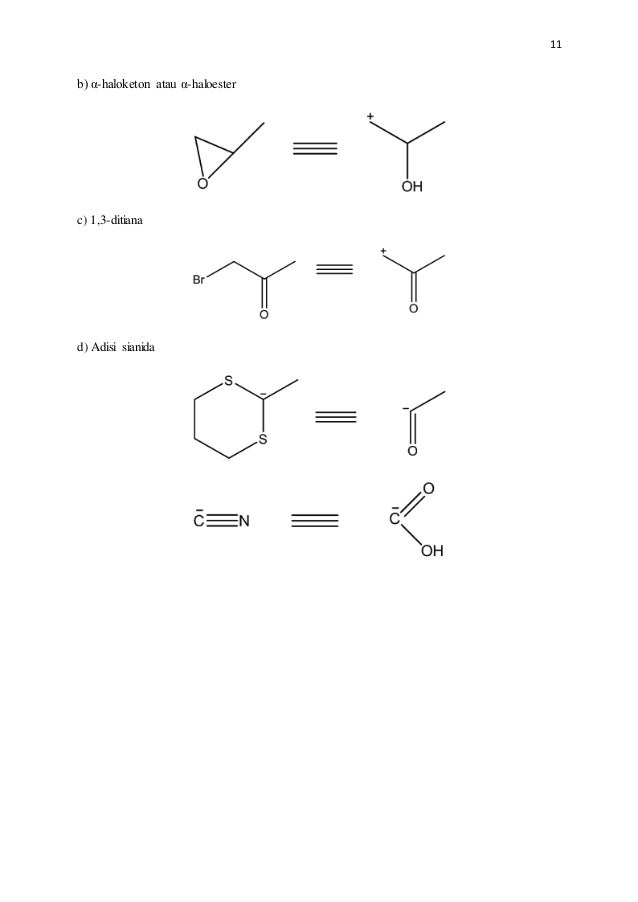
Makalah Retrosintesis Kimia Organik 3 via www.slideshare.net
Makalah retrosintesis Kimia Organik 3

Ez Eldifore Blog: Logo-logo Sekolah Dan Universita Bali via ez-eldifore.blogspot.com
Ez Eldifore Blog: LOGO-LOGO SEKOLAH DAN UNIVERSITA BALI

Judul Skripsi Ekonomi Syariah - 100+ Terbaru 2017 Rezzaid™ via www.rezzaid.com
Judul Skripsi Ekonomi Syariah - 100+ terbaru 2017  RezzaID™

Dont Just Talk It: Contoh Surat Pemesanan Barang via nindiwahyuni.blogspot.com
Dont just talk it: Contoh Surat Pemesanan Barang


Random Image



Related Posts To Contoh Makalah Analisis Kasus


Contoh Makalah Analisis Kasus Rating: 4.5 Posted by: Rachel Low

Search Here

Popular Posts

Total Pageviews

Recent Posts